WBSSC SLST Physical Science IX-X Online Mock Test: Set 2 (The Story Began)

4.7/5 - (4 votes)

WBSSC SLST Physical Science IX-X Online Mock Test: Set 2 | The Story Began | Standard Hardness

Prepare yourself with this carefully designed WBSSC SLST Physical Science IX-X Online Mock Test Set 2. This mock test contains important Physics and Chemistry MCQs based on the latest WBSSC SLST syllabus and previous year question patterns. The questions are prepared with a standard difficulty level to help aspirants improve concept clarity, speed, accuracy, and exam confidence.

This set is highly useful for WBSSC SLST IX-X candidates, school service aspirants, and competitive exam learners who want chapter-wise practice with exam-oriented questions. Regular practice of these mock tests will strengthen problem-solving skills and help in better time management during the final examination.

WBSSC SLST Physical Science IX-X Online Mock Test: Set 2 The Story Began

Features of This Mock Test:

  • Based on the WBSSC SLST Physical Science syllabus
  • Standard hardness level questions
  • Previous year pattern-oriented MCQs
  • Physics + Chemistry mixed practice set
  • Helpful for revision and self-assessment
  • Suitable for Bengali medium and English medium aspirants

Start your preparation today and boost your score with regular SLST Physical Science mock test practice.

/60

Report a question

You cannot submit an empty report. Please add some details.

WBSSC SLST Physical Science IX-X Online Mock Test: Set 2 | The Story Began

CHEMISTRY + PHYSICS:  2025 PYQ
Multiple Choice Question: 60 MCQs
SPECIMEN PAPER: 2 hour

The total mark for this paper is 60. Each correct answer will score one mark

1 / 60

1. Six lead acid type of secondary cells each of emf 2.0 V and internal resistance 0.015Ω are connected in series to provide a supply to a resistance of 8.5Ω. The value of current drawn from supply will be (2.0 V emf এবং 0.015Ω অভ্যন্তরীণ রোধবিশিষ্ট 6টি লেড অ্যাসিড সেকেন্ডারি সেল শ্রেণী সমবায়ে যুক্ত হয়ে 8.5Ω রোধকে শক্তি সরবরাহ করছে। বর্তনীতে প্রবাহিত তড়িৎ কত হবে?):
(A) 0.24 A
(B) 0.72 A
(C) 1.20 A
(D) 1.40 A

2 / 60

2. A convex lens forms a real image of a point object placed on its principal axis. If the upper half of the lens is painted black, then:
(A) the image will be shifted downwards.
(B) the image will be shifted upwards.
(C) the image will not be shifted.
(D) the intensity of image will not change.

একটি উত্তল লেন্স প্রধান অক্ষের উপর অবস্থিত বিন্দু বস্তুর বাস্তব প্রতিবিম্ব গঠন করে। যদি লেন্সের উপরের অর্ধেক অংশ কালো রঙ করা হয়, তবে
(A) প্রতিবিম্ব নিচে সরে যাবে।
(B) প্রতিবিম্ব উপরে সরে যাবে।
(C) প্রতিবিম্বের অবস্থান পরিবর্তিত হবে না।
(D) প্রতিবিম্বের তীব্রতা পরিবর্তিত হবে না।

3 / 60

3. What is the area of the parallelogram whose adjacent sides are given by the vectors A = 3i^+j^+4k and B = i^−j^+k^? (যে সামান্তরিকের সংলগ্ন বাহুদ্বয় A=3i^+j^+4k এবং B=i^−j^+k^, তার ক্ষেত্রফল কত?)

(A) 40
(B) 42
(C) 42 units
(D) 21 units

4 / 60

4. The maximum height attained by a projectile is increased by 10% by increasing its speed of projection, without changing the angle of projection. The percentage increase in its horizontal range will be: (নিক্ষিপ্ত বস্তুর প্রক্ষেপণ কোণ অপরিবর্তিত রেখে বেগ বাড়ানোর ফলে সর্বাধিক উচ্চতা 10% বৃদ্ধি পায়। তবে আনুভূমিক পাল্লা শতকরা কত বৃদ্ধি পাবে?)
(A) 5%
(B) 10%
(C) 15%
(D) 20%

5 / 60

5. A cyclist moving on a circular track of radius 40 m completes half a revolution in 40 s. His average velocity is (40 m ব্যাসার্ধের বৃত্তাকার পথে চলমান একজন সাইকেল আরোহী 40 s-এ অর্ধেক আবর্তন সম্পূর্ণ করে। তার গড় বেগ কত?):
(A) 0 m/s
(B) 2 m/s
(C)  m/s
(D)  m/s

6 / 60

6. If the Earth were to stop rotating, the value of ‘g’ (acceleration due to gravity) at the equator would:
(A) Increase
(B) Decrease
(C) Remain the same
(D) Become zero

পৃথিবী যদি ঘূর্ণন বন্ধ করে দেয়, তবে বিষুবরেখায় অভিকর্ষজ ত্বরণ ‘g’-এর মান কী হবে?
(A) বৃদ্ধি পাবে
(B) হ্রাস পাবে
(C) অপরিবর্তিত থাকবে
(D) শূন্য হবে

7 / 60

7. The equation of a simple harmonic progressive wave is given by  y=8sin⁡(0.628x−12.56t), where x and y are in cm and t is in seconds. The wavelength of the wave is:
(A) 5 cm
(B) 8 cm
(C) 10 cm
(D) 12 cm

সরল ছন্দিত প্রগতিশীল তরঙ্গের সমীকরণ y=8sin⁡(0.628x−12.56t), যেখানে x ও y সেমিতে এবং t সেকেন্ডে। তরঙ্গদৈর্ঘ্য কত?
(A) 5 cm
(B) 8 cm
(C) 10 cm
(D) 12 cm

8 / 60

8. The ratio of the speed of sound in nitrogen gas to that in helium gas at 300 K is (Atomic mass of N = 14, He = 4):

300 K তাপমাত্রায় নাইট্রোজেন গ্যাস ও হিলিয়াম গ্যাসে শব্দের বেগের অনুপাত কত? (N = 14, He = 4)

9 / 60

9. An ideal gas is taken through a process where dQ=2dUdQ = 2dU. What is the molar heat capacity for this process?
(A) 2Cv
(B) Cp
(C) 2Cp
(D) Cv

একটি আদর্শ গ্যাস এমন প্রক্রিয়ার মধ্য দিয়ে যায় যেখানে dQ=2dUdQ = 2dU। এই প্রক্রিয়ার মোলার তাপধারণ ক্ষমতা কত?
(A) 2Cv
(B) Cp
(C) 2Cp
(D) Cv

10 / 60

10. Two water droplets merge with each other to form a larger droplet. In this process:
(A) Energy is liberated
(B) Energy is absorbed
(C) Energy is neither liberated nor absorbed
(D) The temperature may increase or decrease depending on the size of the droplets

দুটি জলের ফোঁটা মিলিত হয়ে একটি বড় ফোঁটা গঠন করে। এই প্রক্রিয়ায়
(A) শক্তি নির্গত হয়
(B) শক্তি শোষিত হয়
(C) শক্তি না নির্গত হয়, না শোষিত হয়
(D) ফোঁটার আকারের উপর নির্ভর করে তাপমাত্রা বাড়তে বা কমতে পারে

11 / 60

11. In a Young’s double-slit experiment, if blue light is replaced by red light, the fringe width will:
(A) Decrease
(B) Increase
(C) Remain unchanged
(D) Become zero

ইয়ং-এর দ্বিচির পরীক্ষায় নীল আলোর পরিবর্তে লাল আলো ব্যবহার করলে ডোরা প্রস্থ কী হবে?
(A) কমবে
(B) বাড়বে
(C) অপরিবর্তিত থাকবে
(D) শূন্য হবে

12 / 60

12. For a telescope, the magnifying power is 9 and the length of the tube is 20 cm for normal adjustment. The focal length of the objective lens is:
(A) 18 cm
(B) 2 cm
(C) 10 cm
(D) 20 cm

একটি দূরবীক্ষণের বিবর্ধন ক্ষমতা 9 এবং স্বাভাবিক সমন্বয়ে নলের দৈর্ঘ্য 20 cm। অবজেক্টিভ লেন্সের ফোকাল দৈর্ঘ্য কত?
(A) 18 cm
(B) 2 cm
(C) 10 cm
(D) 20 cm

13 / 60

13. The angle of polarization for a certain medium is 60°. The critical angle for total internal reflection for a ray travelling from this medium to air is (কোনো একটি মাধ্যমের জন্য পোলারাইজেশনের কোণ 60°। ঐ মাধ্যম থেকে বায়ুতে যাওয়া আলোর পূর্ণ অভ্যন্তরীণ প্রতিফলনের সংকট কোণ কত?):

(A) sin−1(1/√3)
(B) sin−1(√3)
(C) sin−1(1/2)
(D) sin−1(2)

14 / 60

14. Three capacitors each of capacitance 9 pF are connected in series. The potential difference across the combination is 120 V. The charge on each capacitor is:
(A) 270 pC
(B) 360 pC
(C) 720 pC
(D) 1080 pC

9 pF ধারকত্বের তিনটি ধারক শ্রেণী সমবায়ে যুক্ত। সমবায়ের বিভব পার্থক্য 120 V হলে প্রতিটি ধারকের আধান কত?
(A) 270 pC
(B) 360 pC
(C) 720 pC
(D) 1080 pC

15 / 60

15. The electric field at a point on the axial line of a short electric dipole is E1. The electric field at a point on the equatorial line at the same distance is E2. Then:
(A) E1=2E2
(B) E2=−2E1
(C) E1=−2E2
(D) ∣E2∣=2∣E1∣

একটি ক্ষুদ্র তড়িৎ দ্বিধ্রুবকের অক্ষীয় রেখার কোনো বিন্দুতে তড়িৎ ক্ষেত্র E1 এবং একই দূরত্বে বিষুবরেখায় তড়িৎ ক্ষেত্র E2। তবে

(A) E1=2E2
(B) E2=−2E1
(C) E1=−2E2
(D) ∣E2∣=2∣E1∣

16 / 60

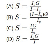
16. A moving coil galvanometer has a resistance of G and gives a full-scale deflection for a current Ig. It can be converted into an ammeter of range I(I>Ig) by connecting a shunt resistance S given by (একটি মুভিং কয়েল গ্যালভানোমিটারের রোধ G এবং পূর্ণ বিচ্যুতির জন্য প্রয়োজনীয় তড়িৎ Ig। এটিকে I(I>Ig) পাল্লার অ্যামিটারে রূপান্তর করতে শান্ট রোধ S কত হবে?):

17 / 60

17. A long solenoid has 200 turns per cm and carries a current i. The magnetic field at its center is 6.28×10−2  Wb/m². Another long solenoid has 100 turns per cm and carries a current i/. The magnetic field at its center is:
(A) 1.05×10−2  Wb/m²
(B) 1.05×10−4  Wb/m²
(C) 1.05×10−3  Wb/m²
(D) 1.05×10−5  Wb/m²

একটি দীর্ঘ সোলেনয়েডে প্রতি সেমিতে 200 পাক আছে এবং এতে i তড়িৎ প্রবাহিত হয়। কেন্দ্রে চৌম্বক ক্ষেত্র 6.28×10−2 Wb/m²। আরেকটি সোলেনয়েডে প্রতি সেমিতে 100 পাক এবং তড়িৎ i/3 । কেন্দ্রে চৌম্বক ক্ষেত্র কত হবে?
(A) 1.05×10−2  Wb/m²
(B) 1.05×10−4  Wb/m²
(C) 1.05×10−3  Wb/m²
(D) 1.05×10−5  Wb/m²

 

18 / 60

18. A step-down transformer reduces the voltage of a transmission line from 2200 V to 220 V. The power delivered to the load is 968 W and the transformer’s efficiency is 88%. The input current is:
(A) 0.4 A
(B) 0.45 A
(C) 0.5 A
(D) 0.55 A

একটি স্টেপ-ডাউন ট্রান্সফরমার 2200 V থেকে 220 V-এ বিভব কমায়। লোডে সরবরাহকৃত ক্ষমতা 968 W এবং ট্রান্সফরমারের দক্ষতা 88%। ইনপুট তড়িৎ কত?
(A) 0.4 A
(B) 0.45 A
(C) 0.5 A
(D) 0.55 A

19 / 60

19. In a series LCR circuit, the voltage across L, C, and R are 40 V, 20 V, and 15 V respectively. The total voltage of the source is:
(A) 75 V
(B) 35 V
(C) 25 V
(D) 45 V

একটি শ্রেণী LCR বর্তনীতে L, C এবং R-এর বিভব পার্থক্য যথাক্রমে 40 V, 20 V এবং 15 V। উৎসের মোট বিভব কত?
(A) 75 V
(B) 35 V
(C) 25 V
(D) 45 V

20 / 60

20. The graph between the stopping potential (V0) and frequency (ν) in a photoelectric effect experiment is a straight line. The slope of this line is equal to:
(A) h (Planck’s constant)
(B) h/e
(C) e/h
(D) e (charge of electron)

আলোক তড়িৎ ক্রিয়ার পরীক্ষায় stopping potential (V0) ও কম্পাঙ্ক (ν)-এর মধ্যে গ্রাফ একটি সরলরেখা। এই রেখার ঢাল সমান

(A) h (Planck’s constant)
(B) h/e
(C) e/h
(D) e (charge of electron)

21 / 60

21. A radioactive nucleus emits one alpha particle and two beta particles. The daughter nucleus is an ________ of the parent nucleus.
(A) Isotope
(B) Isobar
(C) Isotone
(D) Isomer

একটি তেজস্ক্রিয় নিউক্লিয়াস একটি আলফা কণা ও দুটি বিটা কণা নির্গত করে। উৎপন্ন নিউক্লিয়াসটি মূল নিউক্লিয়াসের ________।
(A) সমস্থানিক
(B) সমভর
(C) সমনিউট্রন
(D) সমযোজী

22 / 60

22. The ratio of the mean life (τ) and half-life (T1/2) of a radioactive substance is:
(A) ln⁡2
(B) 1/ln⁡2
(C) 2
(D) 1/2

একটি তেজস্ক্রিয় পদার্থের গড় আয়ু (τ\tau) ও অর্ধায়ু (T1/2T_{1/2}) এর অনুপাত কত?
(A) ln⁡2
(B) 1/ln⁡2
(C) 2
(D) 1/2

23 / 60

23. A ball is dropped from a height of 20 m. If it loses 20% of its energy on striking the ground, to what height will it rebound?
(A) 20 m
(B) 16 m
(C) 10 m
(D) 4 m

20 m উচ্চতা থেকে একটি বল ফেলা হল। ভূমিতে আঘাতের সময় যদি এটি 20% শক্তি হারায়, তবে এটি কত উচ্চতা পর্যন্ত ফিরে উঠবে?
(A) 20 m
(B) 16 m
(C) 10 m
(D) 4 m

24 / 60

24. In a common-emitter transistor amplifier, the audio signal voltage across the collector is 3 V. The resistance of the collector is 3 kΩ. If the current gain is 100 and the base resistance is 2 kΩ, the input signal voltage is:
(A) 10 mV
(B) 20 mV
(C) 30 mV
(D) 15 mV

একটি common-emitter ট্রানজিস্টর পরিবর্ধকে collector-এর বিভব 3 V। collector resistance 3 kΩ। current gain 100 এবং base resistance 2 kΩ হলে input signal voltage কত?
(A) 10 mV
(B) 20 mV
(C) 30 mV
(D) 15 mV

25 / 60

25. The primary principle that allows light to be guided through an optical fiber with minimal loss is:
(A) Refraction
(B) Diffraction
(C) Total Internal Reflection
(D) Polarization

অপটিক্যাল ফাইবারের মধ্যে খুব কম ক্ষতিতে আলো চলাচলের প্রধান নীতি হল
(A) প্রতিসরণ
(B) ব্যতিচার
(C) পূর্ণ অভ্যন্তরীণ প্রতিফলন
(D) মেরুকরণ

26 / 60

26. A particle is acted upon by two forces, F1=2i^+2j^−5k^ and F2=3i^−4j^+2k^. What third force, F3, must be applied so that the particle remains in equilibrium?
(A) 5i^−2j^−3k^
(B) −5i^−2j^−3k^
(C) −5i^+2j^+3k^
(D) 5i^+2j^+3k^

একটি কণার উপর F1=2i^+2j^−5k^ এবং F2=3i^−4j^+2k^ বল ক্রিয়া করছে। কণাটিকে সাম্যাবস্থায় রাখতে তৃতীয় বল F3 কত হবে?(A) 5i^−2j^−3k^
(B) −5i^−2j^−3k^
(C) −5i^+2j^+3k^
(D) 5i^+2j^+3k^

27 / 60

27. The ratio of the radii of the first three Bohr orbits for a hydrogen atom is:
(A) 1 : 2 : 3
(B) 1 : 4 : 9
(C) 1 : 3 : 5
(D) 1 : 8 : 27

হাইড্রোজেন পরমাণুর প্রথম তিনটি বোর কক্ষপথের ব্যাসার্ধের অনুপাত কত?
(A) 1 : 2 : 3
(B) 1 : 4 : 9
(C) 1 : 3 : 5
(D) 1 : 8 : 27

28 / 60

28. The de Broglie wavelength of an electron accelerated through a potential difference V is λ. If the accelerating potential is increased to 4V, the new de Broglie wavelength will be:
(A)
(B) λ/2
(C)
(D) λ/4

V বিভব পার্থক্যের মাধ্যমে ত্বরিত একটি ইলেকট্রনের ডি-ব্রগলি তরঙ্গদৈর্ঘ্য λ। যদি বিভব পার্থক্য 4V করা হয়, তবে নতুন তরঙ্গদৈর্ঘ্য কত হবে?
(A)
(B) λ/2
(C)
(D) λ/4

29 / 60

29. A body is moving in a circular path of radius 5 m with a constant speed of 10 m/s. The centripetal acceleration of the body is
(A) 10 m/s²
(B) 20 m/s²
(C) 25 m/s²
(D) 50 m/s²

5 m ব্যাসার্ধের বৃত্তাকার পথে একটি বস্তু 10 m/s ধ্রুব বেগে চলেছে। বস্তুর কেন্দ্রাভিমুখ ত্বরণ কত?
(A) 10 m/s²
(B) 20 m/s²
(C) 25 m/s²
(D) 50 m/s²

30 / 60

30. Which of the following metals is the best conductor of electricity?
(A) Copper
(B) Aluminium
(C) Silver
(D) Iron

নিম্নের কোন ধাতুটি বিদ্যুতের সর্বোত্তম পরিবাহক?
(A) Copper
(B) Aluminium
(C) Silver
(D) Iron

31 / 60

31. In order to obtain 80% conversion of PCl₃ into PCl₅ (Kp = 1.78) at 250°C, equimolar mixture of Cl₂ and PCl₃ should be placed under a pressure of
(1) 1 atm
(2) 42.7 atm
(3) 13.5 atm
(4) 64.0 atm

250°C তাপমাত্রায় PCl₃ থেকে PCl₅-এ 80% রূপান্তর (Kp = 1.78) ঘটাতে Cl₂ এবং PCl₃-এর সমমোলীয় মিশ্রণকে কত চাপের অধীনে রাখতে হবে?
(1) 1 atm
(2) 42.7 atm
(3) 13.5 atm
(4) 64.0 atm

32 / 60

32.

33 / 60

33. The pKa of HCN is 9.30. The pH of a solution prepared by mixing 2.5 moles of KCN and 2.5 moles of HCN in water and making the total volume to 500 ml is
(1) 9.30
(2) 7.30
(3) 10.30
(4) 8.30

HCN-এর pKa = 9.30। 2.5 mole KCN এবং 2.5 mole HCN মিশিয়ে 500 ml দ্রবণ তৈরি করলে তার pH কত হবে?
(1) 9.30
(2) 7.30
(3) 10.30
(4) 8.30

34 / 60

34. Equivalent conductance of AgNO₃ at 250°C for infinite dilution is 133.3 unit. The transport number of Ag⁺ ions in dilute solution is 0.464. The equivalent conductances of Ag⁺ and NO3− ions at infinite dilution will be respectively (250°C তাপমাত্রায় অসীম লঘুকরণে AgNO₃-এর তুল্য পরিবাহিতা 133.3 unit। dilute দ্রবণে Ag⁺ আয়নের transport number 0.464 হলে Ag⁺ এবং NO3− আয়নের তুল্য পরিবাহিতা যথাক্রমে কত হবে?)
(1) 61.9 and 71.4 unit
(2) 71.4 and 71.9 unit
(3) 142.8 and 133.8 unit
(4) 133.8 and 142.8 unit

35 / 60

35. The difference between heat of reaction at constant pressure and at constant volume, for the reaction

2C6H6(l)+15O2(g)→12CO2(g)+6H2O(l) at 27°C will be
(1) -7.48 KJ
(2) +3.74 KJ
(3) -3.74 KJ
(4) +7.48 KJ

27°C তাপমাত্রায় নিম্নলিখিত বিক্রিয়ার জন্য ধ্রুবচাপ ও ধ্রুবআয়তনে বিক্রিয়ার তাপের পার্থক্য কত হবে?

2C6H6(l)+15O2(g)→12CO2(g)+6H2O(l)

(1) -7.48 KJ
(2) +3.74 KJ
(3) -3.74 KJ
(4) +7.48 KJ

36 / 60

36. One pressure necessary to obtain 50% dissociation of PCl₅ at 250°C is numerically
(1) equal to Kp
(2) three times of Kp
(3) two times of Kp
(4) four times of Kp

250°C তাপমাত্রায় PCl₅-এর 50% বিয়োজনের জন্য প্রয়োজনীয় চাপ সংখ্যাগতভাবে কত হবে?
(1) Kp-এর সমান
(2) Kp-এর তিনগুণ
(3) Kp-এর দ্বিগুণ
(4) Kp-এর চারগুণ

37 / 60

37. In a first order reaction, half of the reaction is completed in 100 seconds. The time for 99% reaction to occur will be
(1) 664.4 seconds
(2) 600.0 seconds
(3) 630.2 seconds
(4) 676.6 seconds

একটি প্রথম শ্রেণির বিক্রিয়ায় 100 সেকেন্ডে অর্ধেক বিক্রিয়া সম্পন্ন হয়। 99% বিক্রিয়া সম্পন্ন হতে কত সময় লাগবে?
(1) 664.4 seconds
(2) 600.0 seconds
(3) 630.2 seconds
(4) 676.6 seconds

38 / 60

38. For a reaction, the rate law is: Rate=k[A]1/2[B]2

What is the overall order of the reaction?
(A) 1.5
(B) 2.0
(C) 2.5
(D) 3.0

একটি বিক্রিয়ার হার সমীকরণ: Rate=k[A]1/2[B]2

বিক্রিয়ার মোট ক্রম কত?
(A) 1.5
(B) 2.0
(C) 2.5
(D) 3.0

39 / 60

39. The resistance of a 0.01 M NaCl solution at 25°C is 200Ω. The cell constant of the conductivity cell is unity (1 cm−1 ). The molar conductivity of the solution is:
(A) 500 S cm² mol⁻¹
(B) 200 S cm² mol⁻¹
(C) 50 S cm² mol⁻¹
(D) 20 S cm² mol⁻¹

25°C তাপমাত্রায় 0.01 M NaCl দ্রবণের রোধ 200Ω। conductivity cell-এর cell constant = 1 cm−1 । দ্রবণের molar conductivity কত?
(A) 500 S cm² mol⁻¹
(B) 200 S cm² mol⁻¹
(C) 50 S cm² mol⁻¹
(D) 20 S cm² mol⁻¹

40 / 60

40. Which of the following statements is true for a galvanic (voltaic) cell?
(A) Oxidation occurs at the cathode.
(B) The anode is the positive electrode.
(C) The flow of electrons is from cathode to anode.
(D) A spontaneous redox reaction generates electrical energy.

গ্যালভানিক (ভোল্টাইক) কোষের জন্য নিম্নের কোন উক্তিটি সঠিক?
(A) ক্যাথোডে জারণ ঘটে।
(B) অ্যানোড ধনাত্মক তড়িৎদ্বার।
(C) ইলেকট্রন ক্যাথোড থেকে অ্যানোডে প্রবাহিত হয়।
(D) স্বতঃস্ফূর্ত জারণ-বিজারণ বিক্রিয়ায় তড়িৎ শক্তি উৎপন্ন হয়।

41 / 60

41. Which would act as both oxidising and reducing agent?
(1) SO₂
(2) MnO₂
(3) Al₂O₃
(4) CrO₃

নিম্নের কোনটি জারক ও বিজারক উভয়রূপে কাজ করতে পারে?
(1) SO₂
(2) MnO₂
(3) Al₂O₃
(4) CrO₃

42 / 60

42. An element has electronic configuration

1s22s22p63s23p63d34s2 . It will be present in the group
(1) fifth
(2) second
(3) third
(4) fifteenth

কোনো মৌলের ইলেকট্রন বিন্যাস

1s22s22p63s23p63d34s2 । মৌলটি কোন গোষ্ঠীতে অবস্থিত?
(1) পঞ্চম
(2) দ্বিতীয়
(3) তৃতীয়
(4) পঞ্চদশ

43 / 60

43. The polarity is maximum in
(1) N−F
(2) O−F
(3) F−F
(4) C−F

নিম্নের কোন বন্ধনে মেরুতা সর্বাধিক?
(1) N−F
(2) O−F
(3) F−F
(4) C−F

44 / 60

44. Identify the correct answer.
(1) Three resonance structures can be drawn for ozone
(2) BF₃ has non-zero dipole moment
(3) Dipole moment of NF₃ is greater than that of NH₃
(4) Three canonical forms can be drawn for CO32− ion

সঠিক উক্তিটি নির্ণয় কর।
(1) ওজোনের জন্য তিনটি রেজোন্যান্স গঠন আঁকা যায়
(2) BF₃-এর ডাইপোল মোমেন্ট শূন্য নয়
(3) NF₃-এর ডাইপোল মোমেন্ট NH₃-এর চেয়ে বেশি
(4) CO32− আয়নের জন্য তিনটি ক্যানোনিক্যাল গঠন আঁকা যায়

45 / 60

45. The pair of lanthanoid ions which are diamagnetic is
(1) Ce⁴⁺ and Yb²⁺
(2) Ce³⁺ and Eu²⁺
(3) Gd³⁺ and Eu³⁺
(4) Pm³⁺ and Sm³⁺

নিম্নের কোন ল্যান্থানয়েড আয়ন যুগলটি ডায়াম্যাগনেটিক?
(1) Ce⁴⁺ and Yb²⁺
(2) Ce³⁺ and Eu²⁺
(3) Gd³⁺ and Eu³⁺
(4) Pm³⁺ and Sm³⁺

46 / 60

46. Which of the following is used in the preparation of chlorine?
(1) Only MnO₂
(2) Only KMnO₄
(3) Both MnO₂ and KMnO₄
(4) None of the above

ক্লোরিন প্রস্তুতিতে নিম্নের কোনটি ব্যবহৃত হয়?
(1) শুধুমাত্র MnO₂
(2) শুধুমাত্র KMnO₄
(3) MnO₂ এবং KMnO₄ উভয়ই
(4) উপরের কোনোটিই নয়

47 / 60

47. Which of the following is not true? / নিম্নের কোন উক্তিটি সঠিক নয়?

48 / 60

48. Which of the following molecules is linear in shape?
(A) H₂O
(B) SO₂
(C) CO₂
(D) O₃

নিম্নের কোন অণুটির গঠন সরলরৈখিক?
(A) H₂O
(B) SO₂
(C) CO₂
(D) O₃

49 / 60

49. What are the oxidation state and coordination number of Cobalt in the complex [Co(en)2Cl2]+ ? (where ‘en’ is ethylenediamine)
(A) +2, 4
(B) +3, 6
(C) +3, 4
(D) +2, 6

[Co(en)2Cl2] জটিল যৌগে কোবাল্টের জারণ সংখ্যা ও সমন্বয় সংখ্যা কত? (এখানে ‘en’ = ethylenediamine)
(A) +2, 4
(B) +3, 6
(C) +3, 4
(D) +2, 6

50 / 60

50. Based on Molecular Orbital Theory, which of the following species has the shortest bond length? (Molecular Orbital Theory অনুযায়ী নিম্নের কোনটির বন্ধন দৈর্ঘ্য সবচেয়ে কম?)

(A) O₂
(B) O2+
(C) O2
(D) O22−

51 / 60

51. The ionisation constant of phenol is higher than that of ethanol because
(1) Phenoxide ion is bulkier than ethoxide
(2) Phenoxide ion is stronger than ethoxide
(3) Phenoxide ion is less stable than ethoxide
(4) Phenoxide ion is stabilized by resonance (delocalisation)

ফেনলের আয়নীকরণ ধ্রুবক ইথানলের চেয়ে বেশি কারণ
(1) Phenoxide আয়ন ethoxide অপেক্ষা বড়
(2) Phenoxide আয়ন ethoxide অপেক্ষা শক্তিশালী
(3) Phenoxide আয়ন ethoxide অপেক্ষা কম স্থিতিশীল
(4) Phenoxide আয়ন রেজোন্যান্সের মাধ্যমে স্থিতিশীল হয়

52 / 60

52. Aldehydes on oxidation gives
(1) alcohols
(2) ketone
(3) acid
(4) ether

অ্যালডিহাইড জারিত হলে উৎপন্ন হয়
(1) অ্যালকোহল
(2) কিটোন
(3) অ্যাসিড
(4) ইথার

53 / 60

53. The reaction of toluene with chlorine in the presence of FeCl₃ gives
(1) m-Chlorotoluene
(2) Benzyl chloride
(3) Benzoyl chloride
(4) O & P Chlorotoluene

FeCl₃-এর উপস্থিতিতে টলুইনের সাথে ক্লোরিনের বিক্রিয়ায় উৎপন্ন হয়
(1) m-Chlorotoluene
(2) Benzyl chloride
(3) Benzoyl chloride
(4) O & P Chlorotoluene

54 / 60

54. Natural rubber is a polymer of
(1) Isoprene
(2) Ethylene
(3) Styrene
(4) Butadiene

প্রাকৃতিক রাবার কোনটির পলিমার?
(1) Isoprene
(2) Ethylene
(3) Styrene
(4) Butadiene

55 / 60

55. When acetylene is passed through dilute H₂SO₄ in the presence of HgSO₄, the compound formed is
(1) Ether
(2) Ketone
(3) Acetic acid
(4) Acetaldehyde

HgSO₄-এর উপস্থিতিতে dilute H₂SO₄-এর মধ্যে অ্যাসিটিলিন প্রবাহিত করলে উৎপন্ন যৌগ হল
(1) ইথার
(2) কিটোন
(3) অ্যাসিটিক অ্যাসিড
(4) অ্যাসিট্যালডিহাইড

56 / 60

56. Amides can be converted into amines by
(1) Hoffmann’s bromide reaction
(2) Claisen self condensation reaction
(3) Perkin reaction
(4) Wurtz reaction

অ্যামাইডকে অ্যামিনে রূপান্তর করা যায়
(1) Hoffmann’s bromide reaction দ্বারা
(2) Claisen self condensation reaction দ্বারা
(3) Perkin reaction দ্বারা
(4) Wurtz reaction দ্বারা

57 / 60

57. But-2-ene exhibits cis-trans isomerism due to
(1) rotation around C2−C3 double bond
(2) rotation around C3−C4 sigma bond
(3) rotation around C1−C2 bond
(4) restricted rotation around C=C bond

But-2-ene cis-trans সমাবয়বতা প্রদর্শন করে কারণ
(1) C2−C3 দ্বিবন্ধনের চারপাশে ঘূর্ণন
(2) C3−C4 sigma বন্ধনের চারপাশে ঘূর্ণন
(3) C1−C2 বন্ধনের চারপাশে ঘূর্ণন
(4) C=C বন্ধনের চারপাশে সীমাবদ্ধ ঘূর্ণন

58 / 60

58. Order of reactivity of alcohols towards sodium metal is:
(a) Primary > Secondary > Tertiary
(b) Primary > Secondary < Tertiary
(c) Primary < Secondary > Tertiary
(d) Primary < Secondary < Tertiary

সোডিয়াম ধাতুর সাথে অ্যালকোহলের বিক্রিয়াশীলতার ক্রম হল
(a) Primary > Secondary > Tertiary
(b) Primary > Secondary < Tertiary
(c) Primary < Secondary > Tertiary
(d) Primary < Secondary < Tertiary

59 / 60

59. Which of the following carboxylic acid derivatives is the most reactive towards nucleophilic acyl substitution?
(a) Ester
(b) Amide
(c) Acid anhydride
(d) Acid chloride

নিম্নের কোন কার্বক্সিলিক অ্যাসিডের ডেরিভেটিভ nucleophilic acyl substitution-এর প্রতি সবচেয়ে বেশি সক্রিয়?
(a) Ester
(b) Amide
(c) Acid anhydride
(d) Acid chloride

60 / 60

60. A compound gives a positive Lucas test immediately and is easily oxidized by a mild oxidizing agent like PCC. The compound is:
(a) A primary alcohol
(b) A secondary alcohol
(c) A tertiary alcohol
(d) Such a compound does not exist

একটি যৌগ Lucas test তাৎক্ষণিকভাবে positive দেয় এবং PCC-এর মতো মৃদু জারক দ্বারা সহজে জারিত হয়। যৌগটি হল
(a) প্রাথমিক অ্যালকোহল
(b) দ্বিতীয়িক অ্যালকোহল
(c) তৃতীয়িক অ্যালকোহল
(d) এরকম কোনো যৌগ নেই

Your score is

The average score is 40%

0%

Keyword:

  • WBSSC SLST Physical Science (Class IX – X) Mock Test 2026

Full Length Mocks Uploading Plan : 

S.No.Live Date
WBSSC SLST Physics Full Mock Test : 0105-Jul-2025
WBSSC SLST Physics Full Mock Test : 0215-Jul-2025
WBSSC SLST Physics Full Mock Test : 031-Aug-2025
WBSSC SLST Physics Full Mock Test : 0408-Aug-2025
WBSSC SLST Physics Full Mock Test : 0515-Aug-2025
WBSSC SLST Physics Full Mock Test : 0621-May-2026
WBSSC SLST Physics Full Mock Test : 0728-May-2026
WBSSC SLST Physics Full Mock Test : 0807-June-2026
WBSSC SLST Physics Full Mock Test : 0914-June-2026
WBSSC SLST Physics Full Mock Test : 1021-June-2026

1 thought on “WBSSC SLST Physical Science IX-X Online Mock Test: Set 2 (The Story Began)”

  1. This mock test set is really helpful for WBSSC SLST Physical Science preparation. The questions are well balanced and cover important concepts from the syllabus. I especially liked the exam-level MCQs and detailed explanations, which made revision much easier. In my experience, this test series feels more useful and exam-focused than platforms like Adda24, Testbook, and MockPrep for SLST Physical Science practice. The Story Began Set 2 is excellent for improving speed, accuracy, and confidence before the actual exam.

Leave a Comment

Your email address will not be published. Required fields are marked *

Scroll to Top