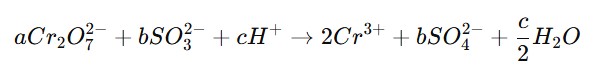
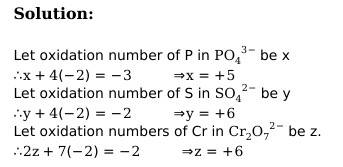
Redox & Electrochemistry Chemistry Online Mock Test: NEET PYQBy admin / March 12, 2024 Chemistry Mock Test Series 5/5 - (1 vote) 0% 0 Report a question What’s wrong with this question? You cannot submit an empty report. Please add some details. Redox & Electrochemistry Chemistry NEET PYQ 2024-18 NEET = National Eligibility-cum-Entrance Test (for admission to undergraduate medical education in all medical institutions) No of Questions: 10 MCQs Time: 20 Minutes Practicing questions from a variety of competitive exams is really valuable. For instance, working on these questions can still sharpen your problem-solving abilities and boost your confidence. Many topics overlap, so broader practice often leads to stronger overall performance. 1 / 10 1. On balancing the given redox reaction, the coefficients a, b and c are found to be, respectively — [NEET 2023] A. 3, 8, 1 B. 1, 8, 3 C. 8, 1, 3 D. 1, 3, 8 2 / 10 2. The correct option for a redox couple is: (NEET 2023 mpr) A. Both are oxidised forms involving same element. B. Both are reduced forms involving same element. C. Both the reduced and oxidized forms involve same element. D. Cathode and anode together. Both reduced and oxidized forms of same element ✔ Correct Answer: (C) 3 / 10 3. The correct structure of tribromooctaoxide is (NEET 2019) A B C D 4 / 10 4. The oxidation state of Cr in CrO₅ is (Odisha NEET 2019, 2014) -6 +12 +6 +4 5 / 10 5. The correct order of N-compounds in its decreasing order of oxidation states is (NEET 2018) A. HNO₃, NO, N₂, NH₄Cl B. HNO₂, NO, NH₄Cl, N₂ C. HNO₃, NH₄Cl, NO, N₂ D. NH₄Cl, N₂, NO, HNO₃ 6 / 10 6. What is the change in oxidation number of carbon in the following reaction? (2020) CH4(g)+4Cl2(g)→CCl4(l)+4HCl(g) A. 0 to +4 B. −4 to +4 C. 0 to −4 D. +4 to +4 7 / 10 7. The oxidation states not shown by Mn in given reaction is: A. +6, B. +2, C. +4, D. +7, E. +3 A. D and E only B. B and D only C. A and B only D. B and E only 👉 Missing oxidation states: +2 and +3 ✔ Corresponds to B and E → Option D 8 / 10 8. Which of the following reactions are disproportionation reactions? (NEET 2019) A. (i) and (iv) only B. (i) and (ii) only C. (i), (ii) and (iii) D. (i), (iii) and (iv) 9 / 10 9. Which reaction is NOT a redox reaction? (NEET 2024) A. Zn + CuSO₄ → ZnSO₄ + Cu B. 2KClO₃ + I₂ → 2KIO₃ + Cl₂ C. H₂ + Cl₂ → 2HCl D. BaCl₂ + Na₂SO₄ → BaSO₄ + 2NaCl 👉 Short Explanation 👉 Check oxidation state changes: A: Zn (0 → +2), Cu (+2 → 0) ⇒ Redox ✔ B: Cl and I change oxidation states ⇒ Redox ✔ C: H (0 → +1), Cl (0 → −1) ⇒ Redox ✔ D: No change in oxidation states ⇒ Double displacement only ❌ ✔ Correct Answer: (D) 10 / 10 10. Which of the following reactions is a decomposition redox reaction? [NEET Re-2022] A B C D Solution: Lead nitrate decomposed to give PbO, NO2 and O2. In this Nitrogen atom oxidation state changes from +5 to +4 and oxygen changes from −2 to zero. Your score isThe average score is 0% 0% Restart quiz ————————————– 0% 0 Report a question What’s wrong with this question? You cannot submit an empty report. Please add some details. Redox & Electrochemistry Chemistry NEET PYQ 2017-04 NEET = National Eligibility-cum-Entrance Test (for admission to undergraduate medical education in all medical institutions) No of Questions: 10 MCQs Time: 20 Minutes Practicing questions from a variety of competitive exams is really valuable. For instance, working on these questions can still sharpen your problem-solving abilities and boost your confidence. Many topics overlap, so broader practice often leads to stronger overall performance. 1 / 10 1. (I) H2O2+O3→H2O+2O(II) H2O2+Ag2O→2Ag+H2O+O2 Role of hydrogen peroxide in the above reactions is respectively (2014) A. oxidizing in (I) and reducing in (II) B. reducing in (I) and oxidizing in (II) C. reducing in (I) and (II) D. oxidizing in (I) and (II) Correct Answer: (C) 2 / 10 2. In which of the following compounds, nitrogen exhibits highest oxidation state? (2012) A. N₂H₄ B. NH₃ C. N₃H D. NH₂OH 3 / 10 3. Hot concentrated sulphuric acid is a moderately strong oxidizing agent. Which of the following reactions does not show oxidizing behaviour? (NEET-II 2016) A. Cu + 2H₂SO₄ → CuSO₄ + SO₂ + 2H₂O B. S + 2H₂SO₄ → 3SO₂ + 2H₂O C. C + 2H₂SO₄ → CO₂ + 2SO₂ + 2H₂O D. CaF₂ + H₂SO₄ → CaSO₄ + 2HF 👉 Short Explanation 👉 Oxidizing agent = causes oxidation of other substance A, B, C: H₂SO₄ oxidizes Cu, S, C → shows oxidizing behaviour ✔ D: Only acid-base reaction, no oxidation state change ❌ ✔ So reaction (D) does not show oxidizing behaviour ✔ Correct Answer: (D) 4 / 10 4. When Cl 2 gas reacts with hot and concentrated sodium hydroxide solution, the oxidation number of chlorine changes from A. zero to +1 and zero to -5 B. zero to -1 and zero to +5 C. zero to -1 and zero to +3 D. zero to +1 and zero to -3 5 / 10 5. Which is the best description of the behaviour of bromine in the reaction given below? (2004) H2O+Br2→HOBr+HBr A. Proton acceptor only B. Both oxidised and reduced C. Oxidised only D. Reduced only 6 / 10 6. Oxidation numbers of P in PO43−, of S in SO42− and that of Cr in Cr2O72− are respectively (2009) A. +3, +6 and +5 B. +5, +3 and +6 C. +3, +6 and +6 D. +5, +6 and +6 7 / 10 7. The pair of compounds that can exist together is (2014) A. FeCl₃, SnCl₂ B. HgCl₂, SnCl₂ C. FeCl₂, SnCl₂ D. FeCl₃, KI Both FeCl2 and SnCl2 are are reducing agents with low oxidation numbers. 8 / 10 8. A mixture of potassium chlorate, oxalic acid and sulphuric acid is heated. During the reaction which element undergoes maximum change in the oxidation number? S H Cl C 9 / 10 9. Number of moles of MnO4− required to oxidize one mole of ferrous oxalate completely in acidic medium will be (2008) A. 7.5 moles B. 0.2 moles C. 0.6 moles D. 0.4 moles 10 / 10 10. Question Your score isThe average score is 0% 0% Restart quiz Post Views: 68
Electrochemistry Online Mock Test Class 12 Chemistry – NEET & JEE Class 12 Chemistry Online Free Mock Test For NEET, Chemistry Mock Test Series, Class 12 Chemistry Online Free Mock Test, Class 12 Chemistry Online Free Mock Test For JEE Main / By Anushka Bhattacharya / October 26, 2024
Chemical Kinetics Online Mock Test Class 12 Chemistry – NEET & JEE Class 12 Chemistry Online Free Mock Test For NEET, Chemistry Mock Test Series, Class 12 Chemistry Online Free Mock Test, Class 12 Chemistry Online Free Mock Test For JEE Main / By admin / November 1, 2024
Some Basic Concepts of Chemistry – Chemistry – Online Mock Test Series Chemistry Mock Test Series / By admin / January 11, 2025
Structure of Atom – Chemistry – Online Mock Test Series Chemistry Mock Test Series / By admin / January 11, 2025
Periodicity – Chemistry – Online Mock Test Series Chemistry Mock Test Series / By admin / January 11, 2025
Chemical Bonding – Chemistry – Online Mock Test Series Chemistry Mock Test Series / By admin / January 11, 2025