Solid State Chemistry Online Mock Test: NEET PYQ

5/5 - (1 vote)

๐Ÿงช Solid State Chemistry Mock Test โ€“ Complete Practice Guide: Prepare smarter for Competitive Exam with this Solid State Chemistry Mock Test, designed strictly according to the latest NEET exam pattern. This test helps you strengthen key concepts like crystal structures, packing efficiency, defects, unit cells, and coordination numbers.

๐Ÿ“Œ What you will get:
โ€ข Carefully selected Hard MCQs (NEET level)
โ€ข Concept-based + calculation-based questions
โ€ข Time-bound practice to improve speed & accuracy
โ€ข Based on previous year trends and important topics

โšก This mock test is perfect for revision and self-assessment. It allows you to identify weak areas and improve problem-solving skills under real exam conditions.

๐ŸŽฏ Why attempt this test?
โ€ข Boost confidence before Hard Chemistry Exam
โ€ข Improve conceptual clarity
โ€ข Practice exam-level questions
โ€ข Enhance time management

๐Ÿ’ก โ€œConsistent practice is the key to cracking Hard Chemistry Examโ€

Start your preparation now and move one step closer to your dream medical college ๐Ÿš€

0%
0

Report a question

You cannot submit an empty report. Please add some details.
Solid State Chemistry Mock Test

Solid State Chemistry NEET PYQ 2024-22

NEET = National Eligibility-cum-Entrance Test [Solid State chemistry is not currently included in the NEET syllabus]

  • No of Questions: 10 MCQs
  • Time: 20 Minutes

Practicing questions from a variety of competitive exams is really valuable. For instance, working on these questions can still sharpen your problem-solving abilities and boost your confidence. Many topics overlap, so broader practice often leads to stronger overall performance

1 / 10

1. An element has a body centred cubic (bcc) structure with a cell edge of 288 pm. The atomic radius is: (NEET 2020)

2 / 10

2.

Given below are two statements: one is labelled as Assertion (A) and the other is labelled as Reason (R). [NEET-2022]

Assertion (A): In a particular point defect, an ionic solid is electrically neutral, even if few of its cations are missing from its unit cells.

Reason (R): In an ionic solid, Frenkel defect arises due to dislocation of cation from its lattice site to interstitial site, maintaining overall electrical neutrality.

3 / 10

3. Copper crystallises in fcc unit cell with cell edge length of 3.608 ร— 10โปโธ cm. The density of copper is 8.92 g cmโปยณ. Calculate the atomic mass of copper. [NEET 2022]

4 / 10

4.

A compound is formed by two elements A and B. The element B forms cubic close packed structure and atoms of A occupy 1/3 of tetrahedral voids. If the formula of the compound is Aโ‚“Bแตง, then the value of x + y is [PYQ 2023]

5 / 10

5. What fraction of one edge centred octahedral void lies in one unit cell of fcc? [PYQ 2023]

6 / 10

6. The correct option for the number of body centred unit cells in all 14 types of Bravais lattice unit cells is: [NEET 2021]

7 / 10

7. How are edge length โ€˜aโ€™ of the unit cell and radius โ€˜rโ€™ of the sphere related to each other in ccp structure? (Choose correct option for your answer) [NEET 2023]

8 / 10

8. How many number of tetrahedral voids are formed in 5 mol of a compound having cubic close packed structure? [PYQ 2023]

9 / 10

9. What fraction of Fe exists as Fe(III) in Feโ‚€.โ‚‰โ‚†O? (Consider Feโ‚€.โ‚‰โ‚†O to be made up of Fe(II) and Fe(III) only) [NEET Re-2022]

10 / 10

10.

List โ€“ I (Defects)
(a) Frenkel defect
(b) Schottky defect
(c) Vacancy defect
(d) Interstitial defect

List โ€“ II (shown by)
(i) non-ionic solids and density of the solid decreases
(ii) non-ionic solids and density of the solid increases
(iii) ionic solids and density of the solid decreases
(iv) ionic solids and density of the solid remains constant

Choose the correct answer from the options given below: [NEET Re-2022]

Your score is

The average score is 0%

0%

……………………………………..

0%
0

Report a question

You cannot submit an empty report. Please add some details.
Solid State Chemistry Mock Test

Solid State Chemistry NEET PYQ 2021-15

NEET = National Eligibility-cum-Entrance Test [Solid State chemistry is not currently included in the NEET syllabus]

  • No of Questions: 10 MCQs
  • Time: 20 Minutes

Practicing questions from a variety of competitive exams is really valuable. For instance, working on these questions can still sharpen your problem-solving abilities and boost your confidence. Many topics overlap, so broader practice often leads to stronger overall performance

1 / 10

1. Iron exhibits bcc structure at room temperature. Above 900ยฐC, it transforms to fcc structure. The ratio of density of iron at room temperature to that at 900ยฐC (assuming molar mass and atomic radius of iron remains constant with temperature) is [NEET 2018]

2 / 10

2. Lithium has a bcc structure. Its density is 530 kg mโปยณ and its atomic mass is 6.94 g molโปยน. Calculate the edge length of a unit cell of lithium metal. (Nโ‚ = 6.02 ร— 10ยฒยณ molโปยน) [NEET-I 2016]

3 / 10

3. A given metal crystallises out with a cubic structure having edge length of 361 pm. If there are four metal atoms in one unit cell, what is the radius of one atom? (2015 Cancelled)

4 / 10

4. Formula of nickel oxide with metal deficiency defect in its crystal is Niโ‚€.โ‚‰โ‚ˆO. The crystal contains Niยฒโบ and Niยณโบ ions. The fraction of nickel existing as Niยฒโบ ions in the crystal is (Odisha NEET 2019)

5 / 10

5. The ionic radii of Aโบ and Bโป ions are 0.98 ร— 10โปยนโฐ m and 1.81 ร— 10โปยนโฐ m. The coordination number of each ion in AB is [NEET-I 2016]

6 / 10

6. If a is the length of the side of a cube, the distance between the body centred atom and one corner atom in the cube will be (2014)

7 / 10

7.

The correct statement regarding defects in crystalline solids is (2015)

8 / 10

8. In calcium fluoride, having the fluorite structure, the coordination numbers for calcium ion (Caยฒโบ) and fluoride ion (Fโป) are [NEET-II]

9 / 10

9. Which is the incorrect statement? [NEET 2017]

10 / 10

10. A compound is formed by cation C and anion A. The anions form hexagonal close packed (hcp) lattice and the cations occupy 75% of octahedral voids. The formula of the compound is [NEET 2019]

Your score is

The average score is 0%

0%

……………………………………..

0%
0

Report a question

You cannot submit an empty report. Please add some details.
Solid State Chemistry Mock Test

Solid State Chemistry NEET PYQ 2014-09

NEET = National Eligibility-cum-Entrance Test [Solid State chemistry is not currently included in the NEET syllabus]

  • No of Questions: 10 MCQs
  • Time: 20 Minutes

Practicing questions from a variety of competitive exams is really valuable. For instance, working on these questions can still sharpen your problem-solving abilities and boost your confidence. Many topics overlap, so broader practice often leads to stronger overall performance

1 / 10

1. The number of octahedral void(s) per atom present in a cubic close- packed structure is (2012)

2 / 10

2. Structure of a mixed oxide is cubic close packed (c.c.p). The cubic unit cell of mixed oxide is composed of oxide ions. One fourth of the tetrahedral voids are occupied by divalent metal A and the octahedral voids are occupied by a monovalent metal B. The formula of the oxide is (2012 Mains)

3 / 10

3. The vacant space in bcc lattice unit cell is ( NEET 2015, 2008)

4 / 10

4. A metal has a fcc lattice. The edge length of the unit cell is 404 pm. The density of the metal is 2.72 g cmโปยณ. The molar mass of the metal is: (Nโ‚ = 6.02 ร— 10ยฒยณ molโปยน) (2013 NEET)

5 / 10

5. A metal crystallises with a face-centred cubic lattice. The edge of the unit cell is 408 pm. The diameter of the metal atom is (2012)

6 / 10

6. The number of carbon atoms per unit cell of diamond unit cell is (2013 NEET)

7 / 10

7. AB crystallizes in a body centred cubic lattice with edge length โ€˜aโ€™ equal to 387 pm. The distance between two oppositely charged ions in the lattice is (2010)

8 / 10

8. Lithium metal crystallises in a body-centred cubic crystal. If the length of the side of the unit cell of lithium is 351 pm, the atomic radius of lithium will be (2009)

9 / 10

9. Copper crystallises in a face-centred cubic lattice with a unit cell length of 361 pm. What is the radius of copper atom in pm? (2009)

10 / 10

10. A solid compound XY has NaCl structure. If the radius of the cation is 100 pm, the radius of the anion (Y) will be (2011 Mains)

Your score is

The average score is 0%

0%

……………………………………..

0%
0

Report a question

You cannot submit an empty report. Please add some details.
Solid State Chemistry Mock Test

Solid State Chemistry NEET PYQ 2008-05

NEET = National Eligibility-cum-Entrance Test [Solid State chemistry is not currently included in the NEET syllabus]

  • No of Questions: 05 MCQs
  • Time: 20 Minutes

Practicing questions from a variety of competitive exams is really valuable. For instance, working on these questions can still sharpen your problem-solving abilities and boost your confidence. Many topics overlap, so broader practice often leads to stronger overall performance

1 / 5

1. Percentage of free space in a body centred cubic unit cell is (2008)

2 / 5

2. If NaCl is doped with 10โปโด mol % of SrClโ‚‚, the concentration of cation vacancies will be (Nโ‚ = 6.02 ร— 10ยฒยณ molโปยน) (2007)

3 / 5

3. With which one of the following elements silicon should be doped so as to give p-type of semiconductor? (2008)

4 / 5

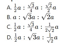
4. If a stands for the edge length of the cubic systems: simple cubic, body centred cubic and face centred cubic, then the ratio of radii of the spheres in these systems will respectively (2008)

5 / 5

5.

Which of the following statements is not correct? (2008)

Your score is

The average score is 0%

0%

Leave a Comment

Your email address will not be published. Required fields are marked *

Scroll to Top