WBSSC SLST Physical Science IX-X Online Mock Test: Set 3 (Justice League)

5/5 - (3 votes)

WBSSC SLST Physical Science IX-X Online Mock Test: Set 3 | Justice League | Standard Hardness

Welcome to WBSSC SLST Physical Science IX-X Online Mock Test Set 3 – Justice League Edition. This practice set is specially designed for WBSSC SLST aspirants preparing for Physical Science (Physics + Chemistry) for Classes IX-X level. The mock test includes important conceptual, numerical, analytical, and previous year pattern-based MCQs to improve problem-solving ability and exam performance.

This set follows the latest WBSSC SLST syllabus and helps candidates build a strong command over important chapters through standard difficulty questions. It is highly beneficial for revision, self-evaluation, and increasing speed and accuracy before the final examination.

WBSSC SLST Physical Science IX-X Online Mock Test: Set 3 Justice League

Mock Test Features:

  • Based on the latest WBSSC SLST syllabus
  • Physics and Chemistry combined MCQs
  • Previous year trend-based questions
  • Standard hardness level
  • Helpful for Bengali & English medium students
  • Ideal for practice, revision, and self-assessment
  • Exam-oriented question pattern

Practice regularly and become part of the “Justice League” of successful SLST aspirants.

/60

Report a question

You cannot submit an empty report. Please add some details.

WBSSC SLST Physical Science IX-X Online Mock Test: Set 3 | Justice League

CHEMISTRY + PHYSICS:  2025 PYQ
Multiple Choice Question: 60 MCQs
SPECIMEN PAPER: 2 hour

The total mark for this paper is 60. Each correct answer will score one mark

1 / 60

1. Which of the following is a scalar quantity?
(a) Total Linear Momentum
(b) Total angular Momentum
(c) Force
(d) Energy

নিম্নের কোনটি স্কেলার রাশি?
(a) মোট রৈখিক ভরবেগ
(b) মোট কৌণিক ভরবেগ
(c) বল
(d) শক্তি

2 / 60

2. If a projectile is thrown with a velocity V0 that makes an angle θ0​ with the X-axis, then equation of path of the projectile is (যদি কোনো প্রক্ষেপ বস্তুকে V0​ বেগে X-অক্ষের সাথে θ0​​ কোণে নিক্ষেপ করা হয়, তবে তার গতিপথের সমীকরণ হবে)-

3 / 60

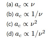
3. For a particular radius of a circular path the relation between the frequency of revolution and the centripetal acceleration is (নির্দিষ্ট ব্যাসার্ধের বৃত্তীয় পথে আবর্তনের কম্পাঙ্ক ও কেন্দ্রাভিমুখ ত্বরণের সম্পর্ক হল)

4 / 60

4. A car moving at 5 m/s on a road takes a circular road of radius 4 m without decreasing speed. The coefficient of static friction between the wheel and the road is 0.2. What will happen while taking the turn?
(a) The car will slip
(b) The car will not slip
(c) The car moves steadily
(d) The car will roll

5 m/s বেগে চলমান একটি গাড়ি 4 m ব্যাসার্ধের বৃত্তাকার পথে একই বেগে ঘুরছে। চাকা ও রাস্তার মধ্যে স্থিতিঘর্ষণ সহগ 0.2 হলে কী ঘটবে?
(a) গাড়ি পিছলে যাবে
(b) গাড়ি পিছলাবে না
(c) গাড়ি সমবেগে চলবে
(d) গাড়ি গড়িয়ে যাবে

5 / 60

5. A constant power is applied to a body, so the body is moving unidirectionally. Now at any time t, the displacement of the body is proportional to
(a) t3
(b) t3/2
(c) t5/2
(d) t−3/2

একটি বস্তুর উপর ধ্রুব ক্ষমতা প্রয়োগ করা হচ্ছে এবং বস্তুটি একদিকে চলছে। t সময়ে সরণ কোনটির সমানুপাতিক?
(a) t3
(b) t3/2
(c) t5/2
(d) t−3/2

6 / 60

6. What is the magnitude of the vector product for ?
(a) √170
(b) √180
(c) √190
(d) √200

-এর ভেক্টর গুণফলের মান কত?

7 / 60

7. The length of an iron bar is 0.7 m and its mass is 4 kg. The bar is supported on two knife edges placed 0.1 m from each end. A load of 6 kg is suspended at 0.3 m from one end. What are the reactions at each of the knife edges?
(a) 55 N and 21 N
(b) 43 N and 25 N
(c) 55 N and 43 N
(d) 37 N and 63 N

0.7 m দৈর্ঘ্যের একটি লোহার দণ্ডের ভর 4 kg। দুই প্রান্ত থেকে 0.1 m দূরে দুটি knife edge দ্বারা এটি সমর্থিত। এক প্রান্ত থেকে 0.3 m দূরে 6 kg ভর ঝোলানো হয়েছে। knife edge দুটিতে প্রতিক্রিয়া বল কত হবে?
(a) 55 N এবং 21 N
(b) 43 N এবং 25 N
(c) 55 N এবং 43 N
(d) 37 N এবং 63 N

8 / 60

8. Mass of a uniform metal rod is M and length is l. Find the moment of inertia of the rod about an axis perpendicular to it through one end.
(a) Ml2/3
(b) Ml2/4
(c) Ml2/12
(d) Ml2/14

একটি সমসত্ত্ব ধাতব দণ্ডের ভর M এবং দৈর্ঘ্য l। এক প্রান্ত দিয়ে অতিক্রান্ত লম্ব অক্ষের সাপেক্ষে জড়তার ভ্রামক কত?
(a) Ml2/3
(b) Ml2/4
(c) Ml2/12
(d) Ml2/14

9 / 60

9. Suppose four equal masses (m) are present at the four corners of a square room of side r. If the gravity constant is G then find the gravitational potential energy for the system of four masses. (একটি বর্গক্ষেত্রের চার কোণে চারটি সমান ভর m অবস্থিত। বর্গের বাহু r এবং মহাকর্ষ ধ্রুবক G হলে সিস্টেমের মহাকর্ষীয় বিভব শক্তি কত?


)

10 / 60

10. The mass of a satellite is 400 kg. The satellite is circulating in a circular orbit of radius 2R. Find the energy needed to transfer it to another orbit of radius 4R. (Given R=6370 km)
(a) 3.51×109 J
(b) 3.13×109 J
(c) 4.23×109 J
(d) 3.51×108 J

একটি উপগ্রহের ভর 400 kg। এটি 2R ব্যাসার্ধের বৃত্তাকার কক্ষপথে ঘুরছে। একে 4R ব্যাসার্ধের কক্ষপথে স্থানান্তর করতে প্রয়োজনীয় শক্তি কত? (R=6370 km)
(a) 3.51×109 J
(b) 3.13×109 J
(c) 4.23×109 J
(d) 3.51×108 J

11 / 60

11. The duration of a planet year is 29.5 times the earth year. Find the distance between the planet and the sun if the distance between the sun and the earth is 1.50×108 km.
(a) 1.43×1010 km
(b) 1.43×108 km
(c) 1.43×1012 km
(d) 1.43×1014 km

একটি গ্রহের বর্ষকাল পৃথিবীর বর্ষকালের 29.5 গুণ। সূর্য ও পৃথিবীর দূরত্ব 1.50×108  km হলে গ্রহ ও সূর্যের দূরত্ব কত?
(a) 1.43×1010 km
(b) 1.43×108 km
(c) 1.43×1012 km
(d) 1.43×1014 km

 

12 / 60

12. The mass of the block attached to the spring is 200 g. Its damping constant is 40 g/s. If the spring force constant is 90 N/m, then find the period of oscillation.
(a) 0.5 s
(b) 0.4 s
(c) 0.3 s
(d) 0.2 s

স্প্রিংয়ের সাথে যুক্ত বস্তুর ভর 200 g এবং damping constant 40 g/s। স্প্রিং ধ্রুবক 90 N/m হলে দোলনের পর্যায়কাল কত?
(a) 0.5 s
(b) 0.4 s
(c) 0.3 s
(d) 0.2 s

13 / 60

13. A string of mass 5 g is 0.72 m long. The string is under a tension of 60 N. Find the speed of transverse waves on the string.
(a) 85 m/s
(b) 93 m/s
(c) 97 m/s
(d) 83 m/s

5 g ভরের একটি তারের দৈর্ঘ্য 0.72 m এবং এতে 60 N টান প্রয়োগ করা হয়েছে। তারের মধ্যে আনুপ্রস্থ তরঙ্গের বেগ কত?
(a) 85 m/s
(b) 93 m/s
(c) 97 m/s
(d) 83 m/s

14 / 60

14. In case of a wave, the points at which the amplitude is the largest are called
(a) Nodes
(b) Antinodes
(c) Fundamentals
(d) Odd harmonics

তরঙ্গের ক্ষেত্রে যেখানে বিস্তার সর্বাধিক হয়, সেই বিন্দুগুলিকে বলা হয়
(a) Nodes
(b) Antinodes
(c) Fundamentals
(d) Odd harmonics

15 / 60

15. Suppose two strings of musical instruments produce beats of frequency 5 Hz when playing the same note. If the tension of the second string is slightly increased, then the beat frequency decreases to 3 Hz. What is the original frequency of the second string if the frequency of the first string is 427 Hz?
(a) 422 Hz
(b) 430 Hz
(c) 432 Hz
(d) 424 Hz

দুটি বাদ্যযন্ত্রের তার একই নোট বাজানোর সময় 5 Hz বিট সৃষ্টি করে। দ্বিতীয় তারের টান সামান্য বাড়ালে বিট কমে 3 Hz হয়। প্রথম তারের কম্পাঙ্ক 427 Hz হলে দ্বিতীয় তারের প্রাথমিক কম্পাঙ্ক কত ছিল?
(a) 422 Hz
(b) 430 Hz
(c) 432 Hz
(d) 424 Hz

16 / 60

16. Which harmonic mode of one end closed pipe of length 20 cm is resonantly excited by a 430 Hz source when the speed of sound in air is 340 m/s?
(a) First Harmonic
(b) Third Harmonic
(c) Fifth Harmonic
(d) Second Harmonic

20 cm দৈর্ঘ্যের একপ্রান্ত বন্ধ পাইপে 430 Hz উৎস দ্বারা কোন harmonic mode অনুরণিত হবে, যদি বায়ুতে শব্দের বেগ 340 m/s হয়?
(a) First Harmonic
(b) Third Harmonic
(c) Fifth Harmonic
(d) Second Harmonic

17 / 60

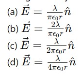
17. Find the electric field at a distance r from an infinitely long straight uniformly charged wire of linear charge density λ (রৈখিক আধান ঘনত্ব λ -বিশিষ্ট অসীম দীর্ঘ সুষম আধানযুক্ত তার থেকে r দূরত্বে তড়িৎ ক্ষেত্র কত?).

18 / 60

18. Two charges are located at A and B. The distance between A and B is 14 cm. The charge at A is 4×10−8 C and at B is −3×10−8 C. At what point between A and B is the electric potential zero?
(a) 8 cm away from the positive charge on the side of the negative charge
(b) 8 cm away from the negative charge on the side of the positive charge
(c) 10 cm away from the positive charge on the side of the negative charge
(d) In the middle of the two charges

A ও B বিন্দুতে দুটি আধান রাখা আছে। তাদের মধ্যে দূরত্ব 14 cm। A-তে আধান 4×10−8 C  এবং B- তে −3×10−8 C । A ও B-এর মধ্যবর্তী কোথায় তড়িৎ বিভব শূন্য হবে?
(a) ধনাত্মক আধান থেকে 8 cm দূরে ঋণাত্মক আধানের দিকে
(b) ঋণাত্মক আধান থেকে 8 cm দূরে ধনাত্মক আধানের দিকে
(c) ধনাত্মক আধান থেকে 10 cm দূরে ঋণাত্মক আধানের দিকে
(d) দুই আধানের মাঝখানে

19 / 60

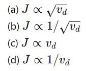
19. The relation between current density and drift velocity is (তড়িৎ ঘনত্ব ও drift velocity-এর সম্পর্ক হল)

20 / 60

20. Suppose an electron is moving in a magnetic field at speed 3×107 m/s, perpendicular to the field. The magnetic field strength is 6×10−4 T. Find the radius of the path. (Mass of electron =9×10−31 kg)
(a) 22 cm
(b) 26 cm
(c) 29 cm
(d) 32 cm

একটি ইলেকট্রন 3×107 m/s বেগে চৌম্বক ক্ষেত্রের লম্বভাবে চলছে। চৌম্বক ক্ষেত্রের মান 6×10−4 T । ইলেকট্রনের পথের ব্যাসার্ধ কত? (m=9×10−31 kg)
(a) 22 cm
(b) 26 cm
(c) 29 cm
(d) 32 cm

21 / 60

21. A current carrying loop has magnetic dipole moment 0.1 A·m². It is freely suspended in a uniform magnetic field of strength 10−2  T. The maximum torque acting on the loop is
(a) 10−4 Nm
(b) 10−3 Nm
(c) 10−2 Nm
(d)10−1 Nm

একটি তড়িৎবাহী লুপের চৌম্বক দ্বিধ্রুবক ভ্রামক 0.1 A·m²। এটিকে 10−2 T মানের সুষম চৌম্বক ক্ষেত্রে মুক্তভাবে ঝুলিয়ে রাখা হয়েছে। লুপের উপর ক্রিয়াশীল সর্বাধিক টর্ক কত?
(a) 10−4 Nm
(b) 10−3 Nm
(c) 10−2 Nm
(d)10−1 Nm

22 / 60

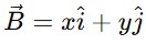
22. A magnetic field is represented as . The SI unit of magnetic flux through a surface is
(a) Tesla
(b) Weber
(c) Henry
(d) Gauss

দ্বারা একটি চৌম্বক ক্ষেত্র প্রকাশ করা হয়েছে। পৃষ্ঠের মধ্য দিয়ে চৌম্বক ফ্লাক্সের SI একক কী?
(a) Tesla
(b) Weber
(c) Henry
(d) Gauss

23 / 60

23. The refractive index of a prism is √2 and the angle of prism is . The angle of minimum deviation is
(a) 15∘
(b) 30∘
(c) 45∘
(d) 60∘

একটি প্রিজমের প্রতিসরণাঙ্ক 2 এবং প্রিজম কোণ 30∘। ন্যূনতম বিচ্যুতি কোণ কত?
(a) 15∘
(b) 30∘
(c) 45∘
(d) 60∘

24 / 60

24. In Young’s double slit experiment, if the distance between slits is doubled and wavelength remains unchanged, then fringe width will
(a) become half
(b) become double
(c) remain unchanged
(d) become four times

ইয়ং-এর দ্বিচির পরীক্ষায় চিরদ্বয়ের দূরত্ব দ্বিগুণ করা হলে এবং তরঙ্গদৈর্ঘ্য অপরিবর্তিত থাকলে ডোরা প্রস্থ কী হবে?
(a) অর্ধেক হবে
(b) দ্বিগুণ হবে
(c) অপরিবর্তিত থাকবে
(d) চারগুণ হবে

25 / 60

25. Which of the following phenomena proves the transverse nature of light?
(a) Reflection
(b) Refraction
(c) Polarization
(d) Diffraction

নিম্নের কোন ঘটনাটি আলোর আনুপ্রস্থ প্রকৃতি প্রমাণ করে?
(a) প্রতিফলন
(b) প্রতিসরণ
(c) মেরুকরণ
(d) ব্যতিচার

26 / 60

26. In Einstein’s photoelectric equation, the stopping potential depends upon
(a) intensity of light
(b) frequency of light
(c) distance from source
(d) area of metal surface

আইনস্টাইনের আলোক তড়িৎ সমীকরণে stopping potential নির্ভর করে
(a) আলোর তীব্রতার উপর
(b) আলোর কম্পাঙ্কের উপর
(c) উৎস থেকে দূরত্বের উপর
(d) ধাতুর ক্ষেত্রফলের উপর

27 / 60

27. The work function of a metal is 2 eV. The threshold wavelength is approximately
(a) 620 nm
(b) 540 nm
(c) 720 nm
(d) 310 nm

একটি ধাতুর কার্যফলক 2 eV। threshold wavelength প্রায় কত হবে?
(a) 620 nm
(b) 540 nm
(c) 720 nm
(d) 310 nm

28 / 60

28. Which of the following particles has the maximum de-Broglie wavelength if all have same kinetic energy?
(a) Electron
(b) Proton
(c) Alpha particle
(d) Neutron

সমান গতিশক্তির ক্ষেত্রে নিম্নের কোন কণার de-Broglie তরঙ্গদৈর্ঘ্য সর্বাধিক?
(a) ইলেকট্রন
(b) প্রোটন
(c) আলফা কণা
(d) নিউট্রন

29 / 60

29. The binding energy per nucleon is maximum for
(a) Hydrogen
(b) Helium
(c) Iron
(d) Uranium

প্রতি নিউক্লিয়নের জন্য বন্ধন শক্তি সর্বাধিক কোন মৌলে?
(a) হাইড্রোজেন
(b) হিলিয়াম
(c) লোহা
(d) ইউরেনিয়াম

30 / 60

30. A logic gate gives output 1 only when all inputs are 1. The gate is
(a) OR gate
(b) NAND gate
(c) NOR gate
(d) AND gate

একটি logic gate তখনই output 1 দেয় যখন সব input 1 হয়। gate টি হল
(a) OR gate
(b) NAND gate
(c) NOR gate
(d) AND gate

31 / 60

31. The equivalent resistance between two points of a circuit containing three resistors each of resistance 6Ω connected in parallel is
(a) 18Ω
(b) 9Ω
(c) 3Ω
(d) 2Ω

তিনটি 6Ω রোধ সমান্তরাল সমবায়ে যুক্ত থাকলে বর্তনীর দুটি বিন্দুর মধ্যে তুল্য রোধ কত হবে?
(a) 18Ω
(b) 9Ω
(c) 3Ω
(d) 2Ω

32 / 60

32. The internal resistance of a cell can be determined by using
(a) potentiometer
(b) galvanometer
(c) ammeter only
(d) voltmeter only

কোনো কোষের অভ্যন্তরীণ রোধ নির্ণয় করা যায়
(a) potentiometer দ্বারা
(b) galvanometer দ্বারা
(c) শুধুমাত্র ammeter দ্বারা
(d) শুধুমাত্র voltmeter দ্বারা

33 / 60

33. A convex lens of focal length 20 cm forms a real image of an object placed 30 cm away from it. The image distance is
(a) 60 cm
(b) 30 cm
(c) 20 cm
(d) 15 cm

20 cm ফোকাল দৈর্ঘ্যের একটি উত্তল লেন্স থেকে 30 cm দূরে বস্তু রাখা হয়েছে। উৎপন্ন বাস্তব প্রতিবিম্বের দূরত্ব কত?
(a) 60 cm
(b) 30 cm
(c) 20 cm
(d) 15 cm

34 / 60

34. In a semiconductor diode under forward bias, the width of depletion layer
(a) increases
(b) decreases
(c) remains unchanged
(d) becomes infinite

forward bias অবস্থায় semiconductor diode-এর depletion layer-এর প্রস্থ
(a) বৃদ্ধি পায়
(b) হ্রাস পায়
(c) অপরিবর্তিত থাকে
(d) অসীম হয়

35 / 60

35. The unit of magnetic field intensity is
(a) Tesla
(b) Weber
(c) Henry
(d) Volt

চৌম্বক ক্ষেত্রের তীব্রতার একক হল
(a) Tesla
(b) Weber
(c) Henry
(d) Volt

36 / 60

36. The SI unit of self inductance is
(a) Ohm
(b) Tesla
(c) Henry
(d) Weber

স্ব-আবেশের SI একক হল
(a) Ohm
(b) Tesla
(c) Henry
(d) Weber

37 / 60

37. Which of the following radiations has the highest penetrating power?
(a) Alpha rays
(b) Beta rays
(c) Gamma rays
(d) X-rays

নিম্নের কোন বিকিরণের ভেদন ক্ষমতা সর্বাধিক?
(a) আলফা রশ্মি
(b) বিটা রশ্মি
(c) গামা রশ্মি
(d) এক্স-রশ্মি

38 / 60

38. The energy of a photon is directly proportional to
(a) wavelength
(b) square of wavelength
(c) frequency
(d) square of frequency

ফোটনের শক্তি সরাসরি সমানুপাতিক
(a) তরঙ্গদৈর্ঘ্যের
(b) তরঙ্গদৈর্ঘ্যের বর্গের
(c) কম্পাঙ্কের
(d) কম্পাঙ্কের বর্গের

39 / 60

39. In Bohr’s model of hydrogen atom, angular momentum of electron is quantized as
(a) nh/2π
(b) h/2πn
(c) nh/π
(d) 2nh/π

হাইড্রোজেন পরমাণুর বোর মডেলে ইলেকট্রনের কৌণিক ভরবেগের মান হয়
(a) nh/2π
(b) h/2πn
(c) nh/π
(d) 2nh/π

40 / 60

40. The logic gate whose output is opposite to the input is
(a) OR gate
(b) AND gate
(c) NOT gate
(d) NAND gate

যে logic gate-এর output input-এর বিপরীত হয় সেটি হল
(a) OR gate
(b) AND gate
(c) NOT gate
(d) NAND gate

41 / 60

41. The oxidation number of chromium in K2Cr2O7 is
(a) +2
(b) +4
(c) +6
(d) +7

K2Cr2O7-এ ক্রোমিয়ামের জারণ সংখ্যা কত?
(a) +2
(b) +4
(c) +6
(d) +7

42 / 60

42. Which of the following is an amphoteric oxide?
(a) Na₂O
(b) MgO
(c) Al₂O₃
(d) SO₂

নিম্নের কোনটি উভধর্মী অক্সাইড?
(a) Na₂O
(b) MgO
(c) Al₂O₃
(d) SO₂

43 / 60

43. The hybridisation of carbon in ethyne is
(a) sp
(b) sp²
(c) sp³
(d) dsp²

ইথাইনে কার্বনের সংকরায়ন হল
(a) sp
(b) sp²
(c) sp³
(d) dsp²

44 / 60

44. Which gas is evolved when zinc reacts with dilute HCl?
(a) Oxygen
(b) Chlorine
(c) Hydrogen
(d) Nitrogen

জিঙ্ক dilute HCl-এর সাথে বিক্রিয়া করলে কোন গ্যাস উৎপন্ন হয়?
(a) অক্সিজেন
(b) ক্লোরিন
(c) হাইড্রোজেন
(d) নাইট্রোজেন

45 / 60

45. Which of the following is a saturated hydrocarbon?
(a) Ethene
(b) Ethyne
(c) Benzene
(d) Ethane

নিম্নের কোনটি সম্পৃক্ত হাইড্রোকার্বন?
(a) Ethene
(b) Ethyne
(c) Benzene
(d) Ethane

46 / 60

46. The pH of a neutral solution at 25°C is
(a) 0
(b) 7
(c) 14
(d) 1

25°C তাপমাত্রায় নিরপেক্ষ দ্রবণের pH কত?
(a) 0
(b) 7
(c) 14
(d) 1

47 / 60

47. Avogadro number is equal to
(a)
(b)
(c)
(d)

অ্যাভোগাড্রো সংখ্যা হল
(a)
(b)
(c)
(d)

48 / 60

48. Which of the following metals is extracted by electrolysis?
(a) Iron
(b) Copper
(c) Aluminium
(d) Zinc

নিম্নের কোন ধাতুটি তড়িৎ বিশ্লেষণের মাধ্যমে নিষ্কাশিত হয়?
(a) Iron
(b) Copper
(c) Aluminium
(d) Zinc

49 / 60

49. Which of the following is used as a reducing agent?
(a) KMnO₄
(b) H₂O₂
(c) SO₂
(d) K₂Cr₂O₇

নিম্নের কোনটি বিজারক হিসেবে ব্যবহৃত হয়?
(a) KMnO₄
(b) H₂O₂
(c) SO₂
(d) K₂Cr₂O₇

50 / 60

50. The IUPAC name of CH3COO is
(a) Methanoic acid
(b) Ethanoic acid
(c) Propanoic acid
(d) Butanoic acid

CH3COOH-এর IUPAC নাম হল
(a) Methanoic acid
(b) Ethanoic acid
(c) Propanoic acid
(d) Butanoic acid

51 / 60

51. Which of the following polymers is used in making non-stick cookware coating?
(a) PVC
(b) Nylon-6,6
(c) Teflon
(d) Bakelite

নিম্নের কোন পলিমারটি non-stick cookware coating তৈরিতে ব্যবহৃত হয়?
(a) PVC
(b) Nylon-6,6
(c) Teflon
(d) Bakelite

52 / 60

52. Which of the following polymers is used in making non-stick cookware coating?
(a) PVC
(b) Nylon-6,6
(c) Teflon
(d) Bakelite

নিম্নের কোন পলিমারটি non-stick cookware coating তৈরিতে ব্যবহৃত হয়?
(a) PVC
(b) Nylon-6,6
(c) Teflon
(d) Bakelite

53 / 60

53. Which vitamin is known as ascorbic acid?
(a) Vitamin A
(b) Vitamin B
(c) Vitamin C
(d) Vitamin D

কোন ভিটামিনকে ascorbic acid বলা হয়?
(a) Vitamin A
(b) Vitamin B
(c) Vitamin C
(d) Vitamin D

54 / 60

54.

  1. The gas used in preparation of ammonia by Haber process is
    (a) Nitrogen and Oxygen
    (b) Nitrogen and Hydrogen
    (c) Hydrogen and Oxygen
    (d) Nitrogen and Chlorine

Haber প্রক্রিয়ায় অ্যামোনিয়া প্রস্তুতির জন্য কোন গ্যাস ব্যবহার করা হয়?
(a) নাইট্রোজেন ও অক্সিজেন
(b) নাইট্রোজেন ও হাইড্রোজেন
(c) হাইড্রোজেন ও অক্সিজেন
(d) নাইট্রোজেন ও ক্লোরিন

55 / 60

55. Which of the following is a biodegradable polymer?
(a) Bakelite
(b) PVC
(c) Nylon
(d) PHBV

নিম্নের কোনটি জৈব অবক্ষয়যোগ্য পলিমার?
(a) Bakelite
(b) PVC
(c) Nylon
(d) PHBV

56 / 60

56. The functional group present in aldehydes is
(a) –OH
(b) –COOH
(c) –CHO
(d) –NH₂

অ্যালডিহাইডে উপস্থিত কার্যকরী মূলক হল
(a) –OH
(b) –COOH
(c) –CHO
(d) –NH₂

57 / 60

57. Which of the following metals is the most reactive?
(a) Cu
(b) Ag
(c) K
(d) Au

নিম্নের কোন ধাতুটি সবচেয়ে বেশি সক্রিয়?
(a) Cu
(b) Ag
(c) K
(d) Au

58 / 60

58. The process of conversion of vapour directly into solid is called
(a) Sublimation
(b) Deposition
(c) Evaporation
(d) Condensation

বাষ্প সরাসরি কঠিনে পরিণত হওয়ার প্রক্রিয়াকে বলা হয়
(a) Sublimation
(b) Deposition
(c) Evaporation
(d) Condensation

59 / 60

59. Which of the following is an ore of aluminium?
(a) Haematite
(b) Bauxite
(c) Zinc blende
(d) Galena

নিম্নের কোনটি অ্যালুমিনিয়ামের আকরিক?
(a) Haematite
(b) Bauxite
(c) Zinc blende
(d) Galena

60 / 60

60. The process of coating iron with zinc is called
(a) Alloying
(b) Electroplating
(c) Galvanization
(d) Smelting

লোহার উপর দস্তার আবরণ দেওয়ার প্রক্রিয়াকে বলা হয়
(a) Alloying
(b) Electroplating
(c) Galvanization
(d) Smelting

Your score is

The average score is 0%

0%

Leave a Comment

Your email address will not be published. Required fields are marked *

Scroll to Top